Simple chemicals can grow complex pretty quickly.
There’s a strong consensus that life on Earth got its start through RNA, a close chemical sibling of DNA. Over the last few decades, researchers have described how individual RNA bases can spontaneously polymerize, forming longer chains that could ultimately catalyze key chemical reactions, including building even longer RNA molecules. As a result, it’s clear that RNA can perform two functions: carrying heritable genetic information just as DNA does and carrying out the instructions encoded by that information.
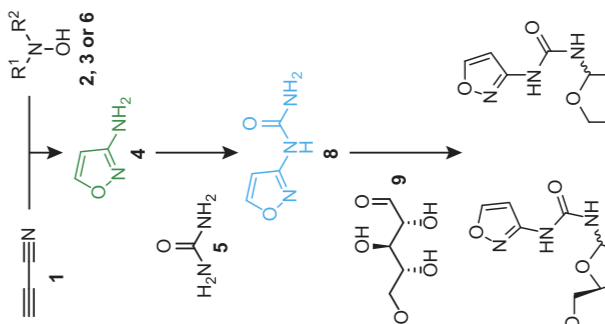
There’s far less agreement, however, on how those RNA bases themselves first form. These bases have a combination of one of two types of flat, ringed structures linked to a small, ring-shaped sugar. Over time, researchers have found sets of chemical reactions that could start with simple chemicals likely to be found on the early Earth and end up with one of the three more complex chemicals needed to form RNA. But the conditions needed for these reactions weren’t compatible, raising questions about how an RNA molecule could ever form from these reactions.
Now, a group of chemists has figured out a way to form the portions of RNA that give it its identity starting from a simple set of chemicals. The work relies on materials that can easily be provided by a volcanic environment. And driving the reactions forward requires little more than a few wet/dry cycles.
Read 13 remaining paragraphs | Comments
Source: Ars Technica – Single reaction mixture can produce all four RNA bases